Publikationer

Proceedings of  Internoise 2025: ”SAFTu – A versatile noise mapping software for UAS or piloted flying vehicles.

 

Sample run case involving population data – number of inhabitants within 5 dB LAmax bands

Rose, L. M., Orrenius, U. E., & Neumann, P. (2025). Predicting Discomfort from Workload Parameters – Towards the Design of Comfortable Work. IISE Transactions on Occupational Ergonomics and Human Factors, 1–17. 

 

PD_repetitive_work250122
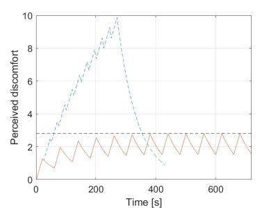
Calculated perceived discomfort for Scenario 1: - - blue dashed line and for Scenario 2: - red solid line. The steady state level reached for Scenario 2 at PD = 2.8 is indicated by a grey horizontal dashed line.
Rulla till toppen